速報APP / 教育 / Reactum

Reactum

價格:免費

更新日期:2016-05-17

檔案大小:21.7 MB

目前版本:1.0.0

版本需求:需要 iOS 9.2 或以上版本。與 iPhone、iPad 及 iPod touch 相容。

支援語言:英語

Reactum(圖1)-速報App

When you immediately want to see, when you want to carefully look at

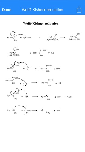
Always necessary reaction mechanism when learn organic chemistry at the University.

Reactum(圖2)-速報App

You can examine the basic reaction mechanism to learn at the university more than 200 types immediately.

You can search from 26 different functional group tags and 22 kinds of reaction,and find the reaction you want to find easily.

Reactum(圖3)-速報App

You can only be the view carefully the part you want to see you in the enlarged display.

Reaction mechanism were investigated or saved in the iphone as image data, or you can send attachments with e-mail.

Reactum(圖4)-速報App

Also, makes it easy to post to the SNS at the touch of a button, you can share the reaction mechanism with friends.

It is a very useful tool when studying the reaction mechanism.

Reactum(圖5)-速報App

支援平台:iPhone